******365上市公司(英国)集团-官方网站
英国上市公司365 英国上市公司365

研究进展

    研究进展

    当前您的位置: 首页 > 研究进展 > 正文

    2021年学术进展系列之48:我院教师邓灿敏关于非重复快速射电暴的原初黑洞并合模型的研究论文被接受发表

    日期: 2021-10-25 浏览次数:

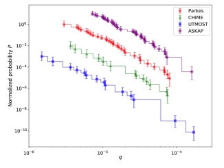
      快速射电暴是发生在宇宙空间中的毫秒射电爆发现象,他们的物理起源至今仍然是一个谜。快速射电暴分为重复暴和非重复暴两类。在我们的前期的工作中,已经提出了原初黑洞并合产生非重复快速射电暴的模型。本文验证了地球质量的原初黑洞并合产生非重复快速射电暴的可行性,并基于现有的非重复快速射电暴样本,仔细地研究和限制了该模型的参数,即荷(电荷或者磁荷)分布函数     ,得     ,    



    研究以“Earth-mass primordial black hole mergers as sources for non-repeating fast radio bursts”为题,已经在《Physical Review D》正式发表

    论文唯一作者:邓灿敏。

    论文链接:https://journals.aps.org/prd/pdf/10.1103/PhysRevD.103.123030


     

    英国上市公司365联系地址:广西区南宁市大学东路100号

    英国上市公司365联系电话:0771-3237386

    英国上市公司365邮 编 :530004

    关注我们

    英国上市公司365
    英国上市公司365

    版权所有:365上市公司(英国)集团-官方网站