近日,我院非线性统计物理团队关于交通控制下交通流能耗和油耗的研究论文被Mathematical Problems In Engineering接受发表。
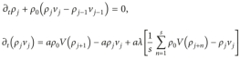
该工作提出了一种将下游多个格子的平均最优流量作为反馈控制的格子流体力学模型。在基于格子流体力学模型的反馈控制下,研究了能量耗散和燃料消耗。通过线性稳定性分析,得到模型的稳定性条件。利用非线性分析的约化摄动法,推导出mKdV方程及其扭结-反扭结密度波解。采用数值方法研究在交通控制下密度波、能量耗散和燃油消耗的变化趋势。研究表明,采用反馈控制可以有效地抑制交通拥堵,提高交通效率和交通系统的稳定性。同时,还能降低交通系统的能量耗散和燃油消耗。
格子流体力学方程:
稳定条件:
非线性分析及扭结-反扭结波解:

(a) (b)
(a)能耗与(b)油耗
该工作获得国家自然科学基金、广西自然科学基金、广西研究生创新项目的资助。
论文作者:文歧云、薛郁、岑炳玲、唐媛、黄木养、盘薇。
论文链接:https://doi.org/10.1155/2022/4200588