******365上市公司(英国)集团-官方网站
英国上市公司365 英国上市公司365

研究进展

    研究进展

    当前您的位置: 首页 > 研究进展 > 正文

    2023年学术进展系列之46:张雪光团组在《MNRAS》期刊上发表研究性文章

    日期: 2023-10-18 浏览次数:

    近日,物理科学与工程技术学院天体物理张雪光团组在天文学著名期刊MNRAS上发表了题为"Interesting Clues to Detect Hidden Tidal Disruption Events in Active Galactic Nuclei"的研究文章。

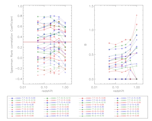
    在该项工作中,基于AGN普适光变的理论模拟和基于TDEs模型的理论模拟,通过模拟的大样本的包含有TDEs贡献的光变数据,提出了一个寻找AGN中隐藏TDEs事件的判据:不同时段的光变特性具有差异较大的内禀光变时标。为后续的在SDSS大样本的AGN中搜寻可能的隐藏TDEs事件提供了理论证据。

    Fig. 1: Basic results on comparing intrinsic variability timescales on different TDEs contributions.

     

    中文题目:活动星系核中隐藏黑洞潮汐瓦解恒星(TDEs)事件的探索

    论文作者:张雪光(通信作者)

    论文链接:https://arxiv.org/abs/2310.07095

     

    英国上市公司365联系地址:广西区南宁市大学东路100号

    英国上市公司365联系电话:0771-3237386

    英国上市公司365邮 编 :530004

    关注我们

    英国上市公司365
    英国上市公司365

    版权所有:365上市公司(英国)集团-官方网站