近日,我院硕士研究生杨哲与导师吕候军教授课题组的关于具有X射线鼓包特征的长伽马暴中心引擎的研究工作以“The X-ray re-brightening of GRB afterglow revisited: a possible signature from activity of the central engine”为题发表在期刊Monthly Notices of the Royal Astronomical Society上。
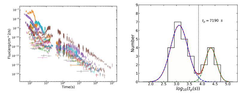
自发现伽马射线暴以来,对其瞬时辐射、余晖辐射和中心引擎进行了许多研究。虽然大量的观测证据与理论模型一致,但仍有许多悬而未决的问题,例如,如何识别GRB的中心引擎。在我们的工作中,我们收集了许多含有X射线鼓包的长伽马射线暴样本,通过我们的筛选方法,保留了28个符合要求的样本。统计结果表明:X射线鼓包的峰值时间呈双峰分布(早期X射线和晚期X射线bump两组)。所以我们猜测:这两个组可能对应于不同的中心引擎。我们使用MCMC(Markov Chain Monte Carlo)方法,用磁星和黑洞模型分别拟合了早期和晚期X射线鼓包。拟合结果显示:早期鼓包与磁星模型拟合结果较好,晚期鼓包更符合黑洞模型。从而支持我们的猜测,包含早期X射线鼓包和晚期X射线鼓包的伽马射线暴可能由不同的中心引擎驱动。这也为区分其他伽马射线暴的中心引擎提供一种独特的方法。

左图:样本X射线光变曲线; 右图:X射线bump峰值时间统计结果

左图:早期bump拟合结果; 右图:晚期bump拟合结果
论文作者:杨哲(硕士生),吕候军(唯一通讯作者),杨星(博士生),沈俊,仪双喜。
论文链接:https://doi.org/10.1093/mnras/stae2496