******365上市公司(英国)集团-官方网站
英国上市公司365 英国上市公司365

研究进展

    研究进展

    当前您的位置: 首页 > 研究进展 > 正文

    2025年学术进展系列之09:我院博士研究生周子民及合作者利用多波段观测数据在GRB 170519A 辐射机制的研究中取得进展

    日期: 2025-03-25 浏览次数:

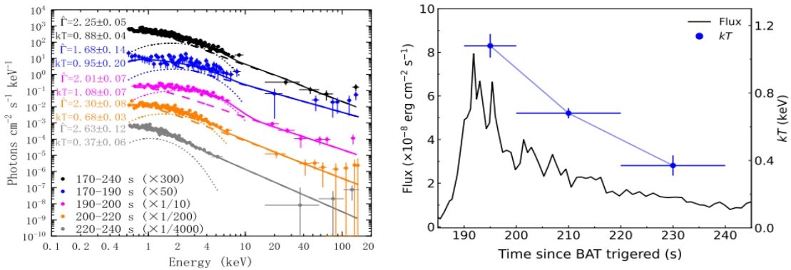
    GRB 170519A 是由 Swift 的多脉冲暴,其完整的光学余辉被 KAIT 等地面光学望远镜探测到(如图1所示)。博士生周子民、在导师王祥高教授的指导下,与合作者们对这个结构完整的暴进行了全面的分析。他们的研究发现,在爆发后的X射线耀发中存在热成分,黑体温度大约为 1 keV并随时间衰减,并限制出光球层半径约为2×1011 cm、光球层洛伦兹因子从67.71衰减到46.70、火球初始半径约为 10 7 cm。多波段余辉产生于外激波模型:相对论性喷流与 ISM 介质作用产生正向激波、加速电子产生余辉辐射,通过模型拟合得到:电子谱分布指数 p =1.78、喷流初始动能为 3.21×1053 erg、喷流初始洛伦兹因子为79.58、电子能均分因子为2.74×10-2 。但早期的 KAIT 光学数据,显示光学的 on-set 上升较缓,这意味着微观参数(如磁能均分因子)在早期可能存在演化,通过模型限制,他们得到磁能均分因子在触发后 1000 s之前,以 t -3.19 的幂律快速衰减至 8.23×10 -3。结果如图2所示,与余辉的光变基本吻合。该工作目前已被《The Astrophysical Journal》杂志接收。

     

    1GRB 170519A 的总光变 

    2GRB 170519A 的谱(左)和黑体温度的演化(右)

    3GRB 170519A 的多波段光变、以及考虑磁能均分因子随时间演化的外激波模型拟合线。 

    论文题目:GRB 170519A: Thermal Radiation in an X-ray Flare and Decaying Magnetic Fields for the Early-Time Afterglow

    论文作者:周子民(博士生)、陈良军、李瑞全、王祥高(通讯作者)、李幸玲、梁恩维、郑伟康(通讯作者)和 Alexei V. Filippenko (通讯作者)。

     

    英国上市公司365联系地址:广西区南宁市大学东路100号

    英国上市公司365联系电话:0771-3237386

    英国上市公司365邮 编 :530004

    关注我们

    英国上市公司365
    英国上市公司365

    版权所有:365上市公司(英国)集团-官方网站